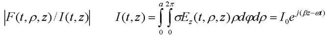
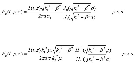
Axially Symmetric TM Wire Wave Fields



General Discussion





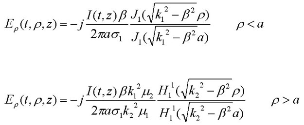
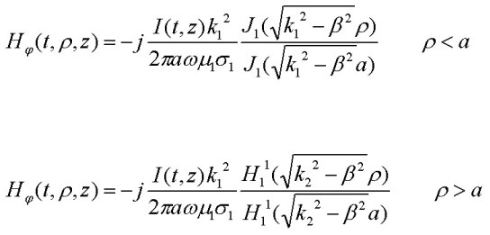
where


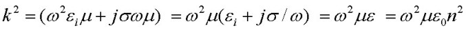
and media propogation constants k1, k2 are: